Официальное опубликование правовых актов
ОФИЦИАЛЬНОЕ ОПУБЛИКОВАНИЕ
Приказ Управления по охране и сохранению историко-культурного наследия Брянской области от 18.05.2021 № 2-1/31
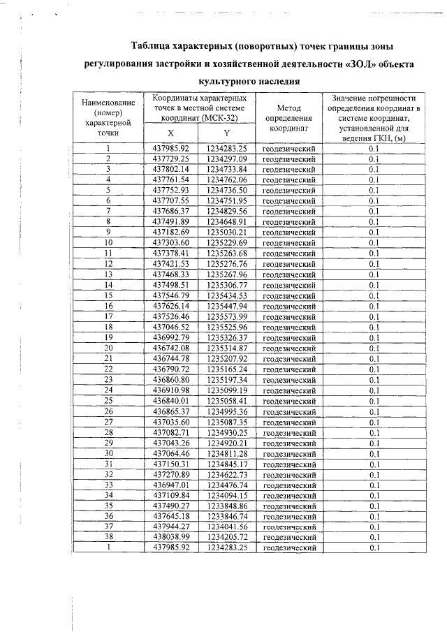
"Об установлении границ зон охраны объекта культурного наследия федерального значения Усадьба "Вьюнки" (Брянская область, г. Клинцы, дом отдыха "Вьюнки") и об утверждении требований к градостроительным регламентам в границах территорий данных зон"
Номер опубликования: 3201202105200003
Дата опубликования: 20.05.2021
Страница №37 из 38:
Увеличить