Официальное опубликование правовых актов
ОФИЦИАЛЬНОЕ ОПУБЛИКОВАНИЕ
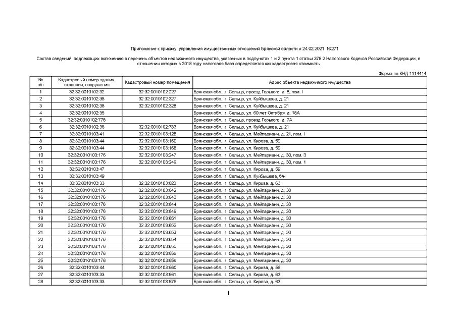
Приказ Управления имущественных отношений Брянской области от 24.02.2021 № 271
"О внесении изменений в приказ от 27.11.2017 №1341 "Об определении Перечня объектов недвижимого имущества, расположенных на территории города Сельцо Брянской области, в отношении которых в 2018 году налоговая база определяется как их кадастровая стоимость"
Номер опубликования: 3201202103010008
Дата опубликования: 01.03.2021
Страница №3 из 8:
Увеличить