Официальное опубликование правовых актов
ОФИЦИАЛЬНОЕ ОПУБЛИКОВАНИЕ
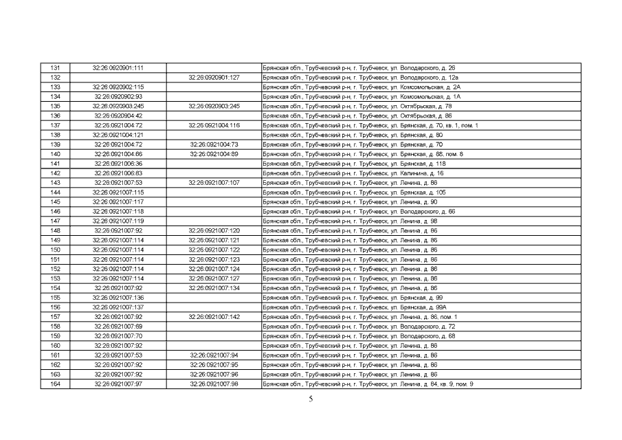
Приказ Управления имущественных отношений Брянской области от 01.02.2021 № 119
"О внесении изменений в приказ от 26.10.2016 №1279 "Об определении Перечня объектов недвижимого имущества, расположенных на территории Трубчевского района Брянской области, в отношении которых в 2017 году налоговая база определяется как их кадастровая стоимость"
Номер опубликования: 3201202102030009
Дата опубликования: 03.02.2021
Страница №7 из 10:
Увеличить