Официальное опубликование правовых актов
ОФИЦИАЛЬНОЕ ОПУБЛИКОВАНИЕ
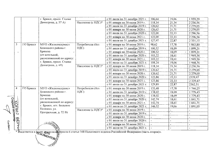
Приказ Управления государственного регулирования тарифов Брянской области от 18.12.2020 № 31/201-гвс
"О внесении изменения в приказ Управления государственного регулирования тарифов Брянской области от 20 декабря 2018 года № 36/51-гвс "О тарифах на горячую воду"
Номер опубликования: 3201202012250009
Дата опубликования: 25.12.2020
Страница №3 из 3:
Увеличить