Официальное опубликование правовых актов
ОФИЦИАЛЬНОЕ ОПУБЛИКОВАНИЕ
Приказ Управления имущественных отношений Брянской области от 27.11.2020 № 1714
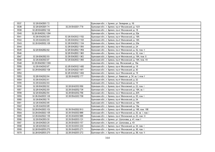
"О внесении изменений в приказ от 27.11.2017 №1314 "Обопределении Перечня объектов недвижимого имущества,расположенных на территории города Брянска Брянской области, в отношении которых в 2018 году налоговая база определяется как их кадастровая стоимость"
Номер опубликования: 3201202012020012
Дата опубликования: 02.12.2020
Страница №166 из 179:
Увеличить