Официальное опубликование правовых актов
ОФИЦИАЛЬНОЕ ОПУБЛИКОВАНИЕ
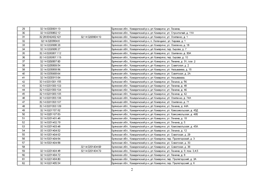
Приказ Управления имущественных отношений Брянской области от 27.11.2020 № 1717
"О внесении изменений в приказ от 27.11.2017 №1329 "Об определении Перечня объектов недвижимого имущества, расположенных на территории Комаричского района Брянской области, в отношении которых в 2018 году налоговая база определяется как их кадастровая стоимость"
Номер опубликования: 3201202012020003
Дата опубликования: 02.12.2020
Страница №4 из 6:
Увеличить