Официальное опубликование правовых актов
ОФИЦИАЛЬНОЕ ОПУБЛИКОВАНИЕ
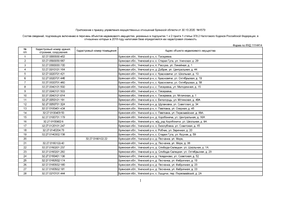
Приказ Управления имущественных отношений Брянской области от 30.10.2020 № 1579
"О внесении изменений в приказ от 27.11.2017 №1316 "Об определении Перечня объектов недвижимого имущества, расположенных на территории Унечского района Брянской области, в отношении которых в 2018 году налоговая база определяется как их кадастровая стоимость"
Номер опубликования: 3201202011030004
Дата опубликования: 03.11.2020
Страница №3 из 13:
Увеличить