Приказ Управления имущественных отношений Брянской области от 03.08.2020 № 1091
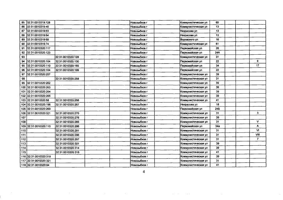
"О внесении изменений в приказ от 27.11.2017 №1342 "Об определении Перечня объектов недвижимого имущества, расположенных на территории города Новозыбкова Брянской области, в отношении которых в 2018 году налоговая база определяется как их кадастровая стоимость"
"О внесении изменений в приказ от 27.11.2017 №1342 "Об определении Перечня объектов недвижимого имущества, расположенных на территории города Новозыбкова Брянской области, в отношении которых в 2018 году налоговая база определяется как их кадастровая стоимость"
Номер опубликования: 3201202008070009
Дата опубликования:
07.08.2020
