Официальное опубликование правовых актов
ОФИЦИАЛЬНОЕ ОПУБЛИКОВАНИЕ
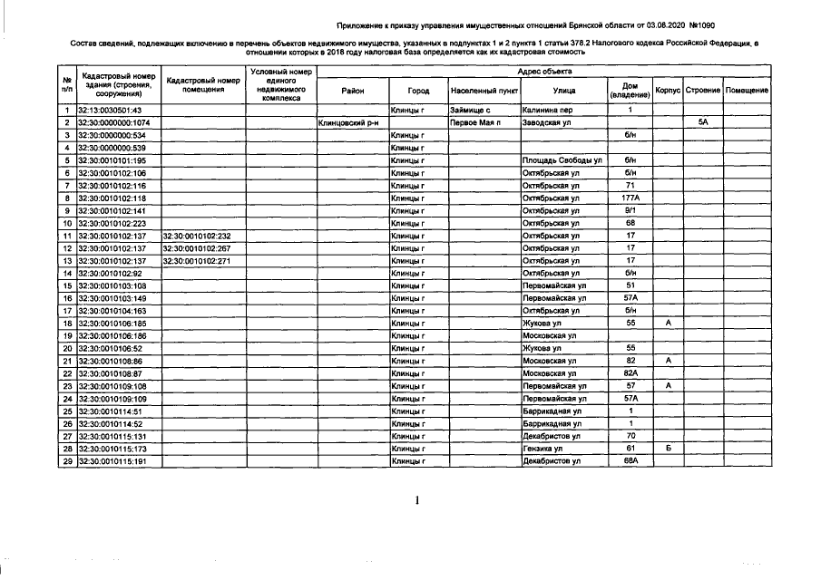
Приказ Управления имущественных отношений Брянской области от 03.08.2020 № 1090
"О внесении изменений в приказ от 27.11.2017 №1343 "Об определении Перечня объектов недвижимого имущества, расположенных на территории города Клинцы Брянской области, в отношении которых в 2018 году налоговая база определяется как их кадастровая стоимость"
Номер опубликования: 3201202008070008
Дата опубликования: 07.08.2020
Страница №3 из 20:
Увеличить