Официальное опубликование правовых актов
ОФИЦИАЛЬНОЕ ОПУБЛИКОВАНИЕ
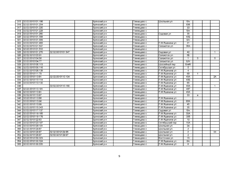
Приказ Управления имущественных отношений Брянской области от 03.08.2020 № 1095
"О внесении изменений в приказ от 25.11.2019 №1524 "Об определении Перечня объектов недвижимого имущества, расположенных на территории Брянской области, в отношении которых в 2020 году налоговая база определяется как их кадастровая стоимость"
Номер опубликования: 3201202008070001
Дата опубликования: 07.08.2020
Страница №11 из 397:
Увеличить