Официальное опубликование правовых актов
ОФИЦИАЛЬНОЕ ОПУБЛИКОВАНИЕ
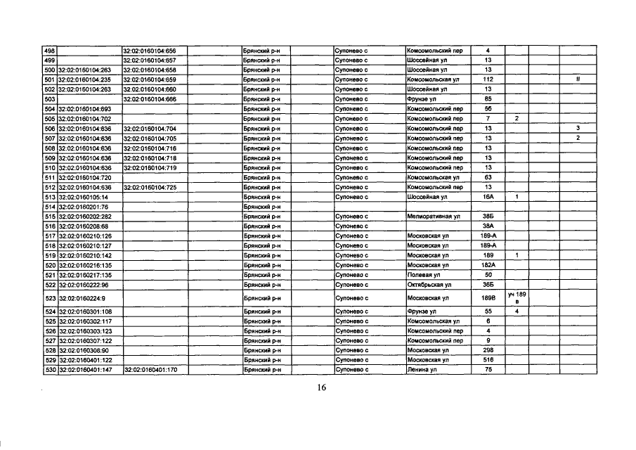
Приказ Управления имущественных отношений Брянской области от 14.07.2020 № 986
"О внесении изменений в приказ от 27.11.2017 №1З12 "Об определении перечня объектов недвижимого имущества, расположенных на территории Брянского района Брянской области, в отношении которых в 2018 году налоговая база определяется как их кадастровая стоимость"
Номер опубликования: 3201202007210001
Дата опубликования: 21.07.2020
Страница №18 из 26:
Увеличить