Официальное опубликование правовых актов
ОФИЦИАЛЬНОЕ ОПУБЛИКОВАНИЕ
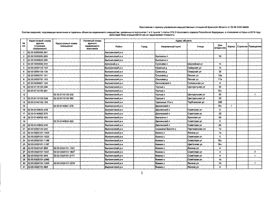
Приказ Управления имущественных отношений Брянской области от 23.06.2020 № 899
"О внесении изменений в приказ от 27.11.2017 №1311 "Об определении перечня объектов недвижимого имущества, расположенных на территории Выгоничского района Брянской области, в отношении которых в 2018 году налоговая база определяется как их кадастровая стоимость"
Номер опубликования: 3201202006290023
Дата опубликования: 29.06.2020
Страница №3 из 7:
Увеличить