Официальное опубликование правовых актов
ОФИЦИАЛЬНОЕ ОПУБЛИКОВАНИЕ
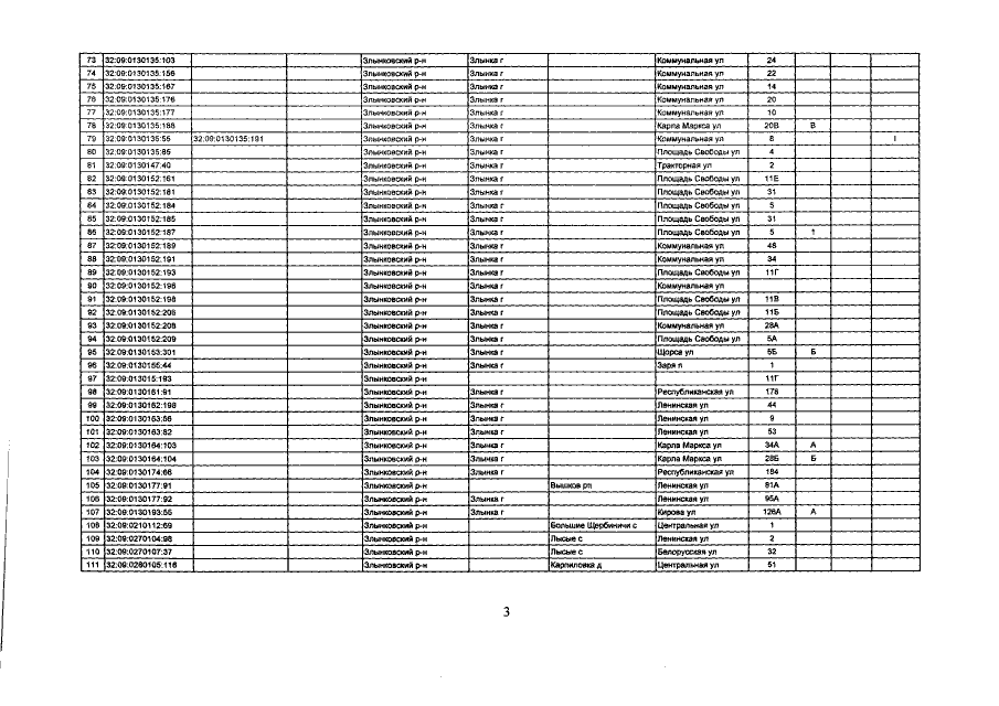
Приказ Управления имущественных отношений Брянской области от 23.06.2020 № 911
"О внесении изменений в приказ от 26.10.2016 №1261 "Об определении Перечня объектов недвижимого имущества, расположенных на территории Злынковского района Брянской области, в отношении которых в 2017 году налоговая база определяется как их кадастровая стоимость"
Номер опубликования: 3201202006290021
Дата опубликования: 29.06.2020
Страница №5 из 6:
Увеличить