Официальное опубликование правовых актов
ОФИЦИАЛЬНОЕ ОПУБЛИКОВАНИЕ
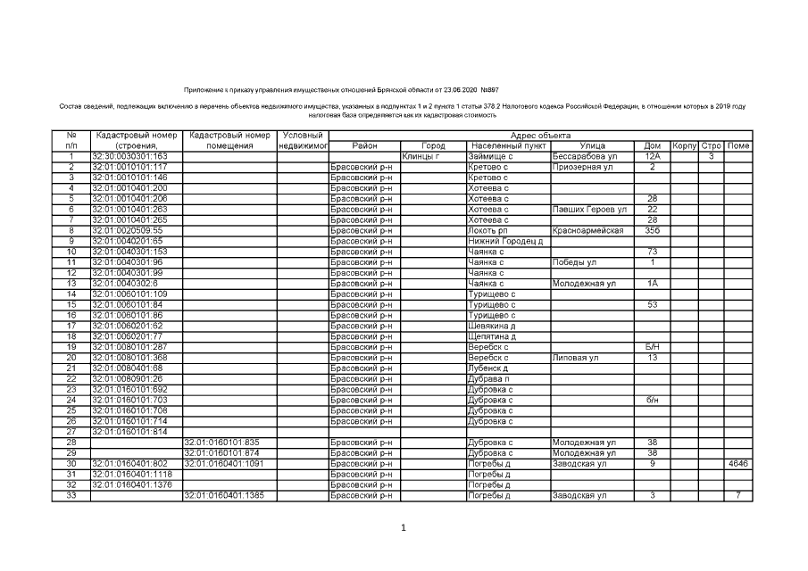
Приказ Управления имущественных отношений Брянской области от 23.06.2020 № 897
"О внесении изменений в приказ от 29.11.2018 №1512 "Об определении Перечня объектов недвижимого имущества, расположенных на территории Брянской области, в отношении которых в 2019 году налоговая база определяется как их кадастровая стоимость"
Номер опубликования: 3201202006290004
Дата опубликования: 29.06.2020
Страница №4 из 376:
Увеличить