Официальное опубликование правовых актов
ОФИЦИАЛЬНОЕ ОПУБЛИКОВАНИЕ
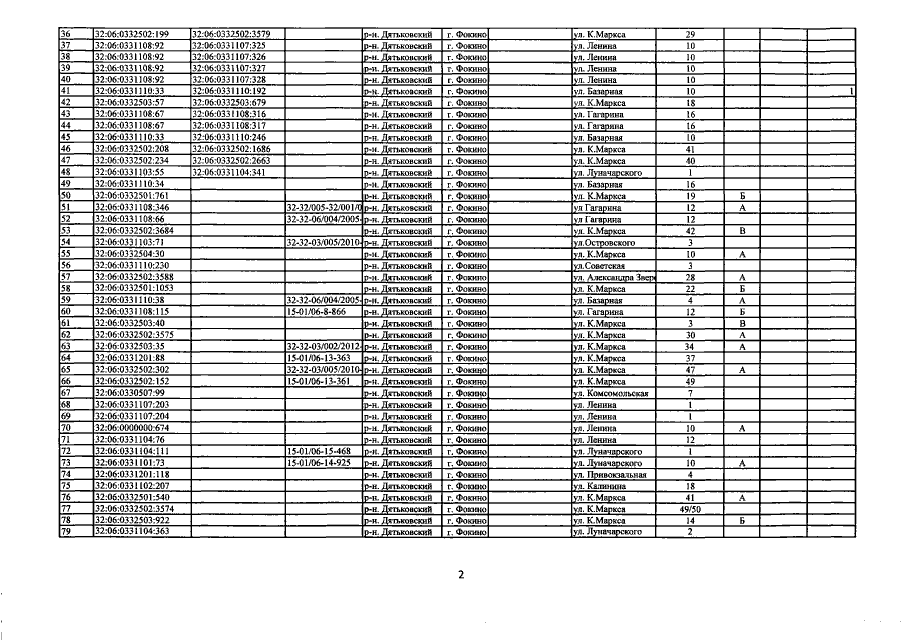
Приказ Управления имущественных отношений Брянской области от 15.05.2020 № 677
"О внесении изменений в приказ от 26.10.2016 №1256 "Об определении перечня объектов недвижимого имущества, расположенных на территории города Фокино района Брянской области, в отношении которых в 2017 году налоговая база определяется как их кадастровая стоимость"
Номер опубликования: 3201202005210010
Дата опубликования: 21.05.2020
Страница №4 из 4:
Увеличить