Официальное опубликование правовых актов
ОФИЦИАЛЬНОЕ ОПУБЛИКОВАНИЕ
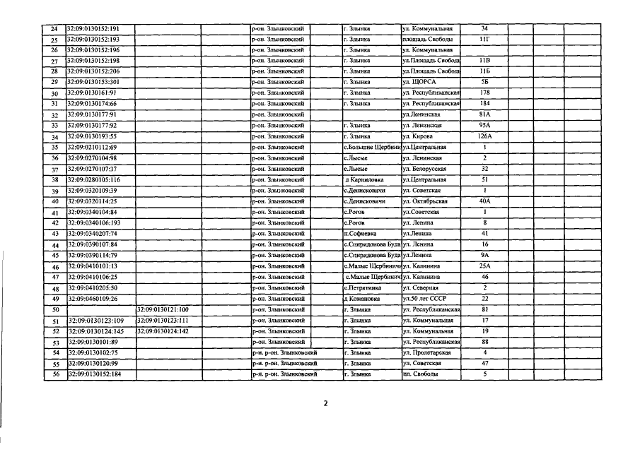
Приказ Управления имущественных отношений Брянской области от 15.05.2020 № 683
"О внесении изменений в приказ от 27.11.2017 №1334 "Об определении Перечня объектов недвижимого имущества, расположенных на территории Злынковского района Брянской области, в отношении которых в 2018 году налоговая база определяется как их кадастровая стоимость"
Номер опубликования: 3201202005210009
Дата опубликования: 21.05.2020
Страница №4 из 7:
Увеличить