Приказ Управления имущественных отношений Брянской области от 24.04.2020 № 628
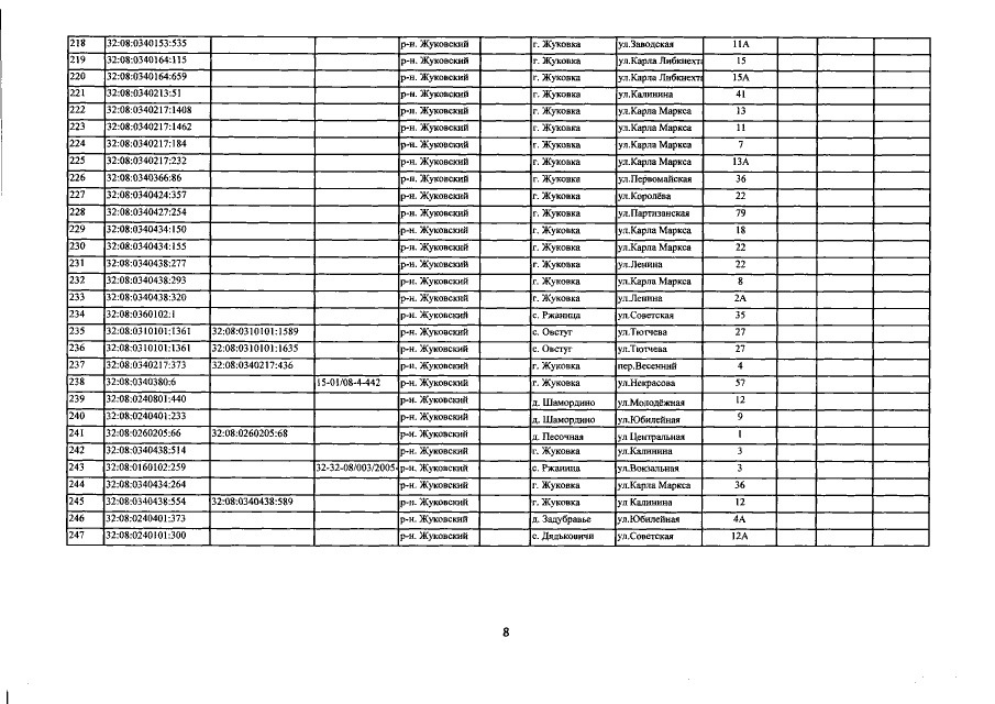
"О внесении изменений в приказ от 26.10.2016 №1260 "Об определении Перечня объектов недвижимого имущества, расположенных на территории Жуковского района Брянской области, в отношении которых в 2017 году налоговая база определяется как их кадастровая стоимость"
"О внесении изменений в приказ от 26.10.2016 №1260 "Об определении Перечня объектов недвижимого имущества, расположенных на территории Жуковского района Брянской области, в отношении которых в 2017 году налоговая база определяется как их кадастровая стоимость"
Номер опубликования: 3201202004300007
Дата опубликования:
30.04.2020
