Официальное опубликование правовых актов
ОФИЦИАЛЬНОЕ ОПУБЛИКОВАНИЕ
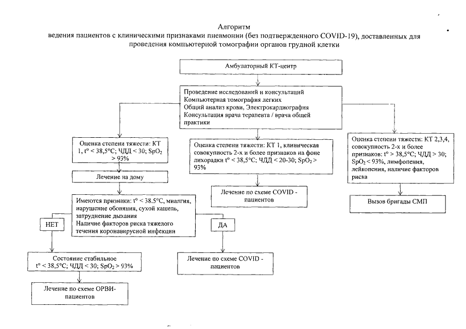
Приказ Департамента здравоохранения Брянской области от 27.04.2020 № 462
"О введении в работу резервного отделения для больных с COVID-19 ГБУЗ "Клинцовская ЦГБ"
Номер опубликования: 3201202004280003
Дата опубликования: 28.04.2020
Страница №5 из 5:
Увеличить