Официальное опубликование правовых актов
ОФИЦИАЛЬНОЕ ОПУБЛИКОВАНИЕ
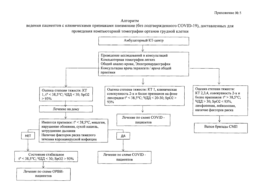
Приказ Департамента здравоохранения Брянской области от 27.04.2020 № 463
"Об утверждении алгоритмов ведения пациентов с ОРВИ, новой коронавирусной инфекцией (COVID-19) на дому"
Номер опубликования: 3201202004280002
Дата опубликования: 28.04.2020
Страница №8 из 16:
Увеличить