Официальное опубликование правовых актов
ОФИЦИАЛЬНОЕ ОПУБЛИКОВАНИЕ
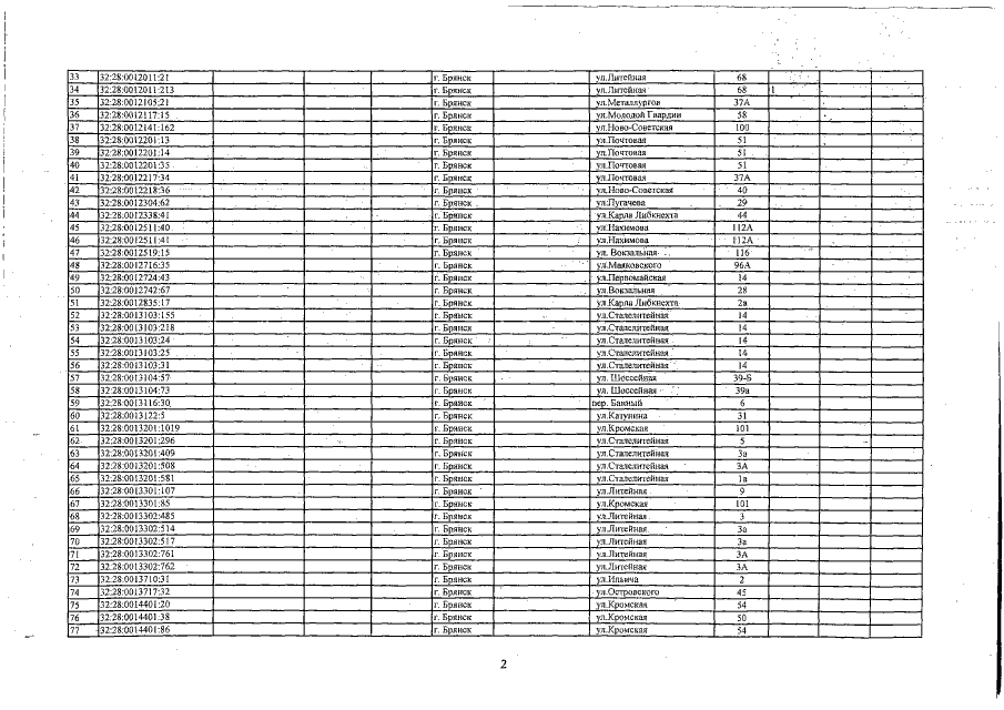
Приказ Управления имущественных отношений Брянской области от 24.04.2020 № 633
"О внесении изменений в приказ от 27.11.2017 №1314 "Об определении Перечня объектов недвижимого имущества, расположенных на территории города Брянска Брянской области, в отношении которых в 2018 году налоговая база определяется как их кадастровая стоимость"
Номер опубликования: 3201202004280001
Дата опубликования: 28.04.2020
Страница №5 из 144:
Увеличить