Официальное опубликование правовых актов
ОФИЦИАЛЬНОЕ ОПУБЛИКОВАНИЕ
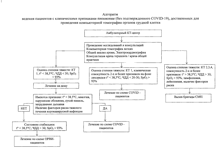
Приказ Департамента здравоохранения Брянской области от 20.04.2020 № 442
"Об организации транспортировки пациентов, находящихся на медицинском обслуживании в медицинских организациях города Брянска, с клиническими признаками пневмонии (без подтвержденного COVID-19) на проведение компьютерной томографии органов грудной клетки"
Номер опубликования: 3201202004220002
Дата опубликования: 22.04.2020
Страница №8 из 8:
Увеличить