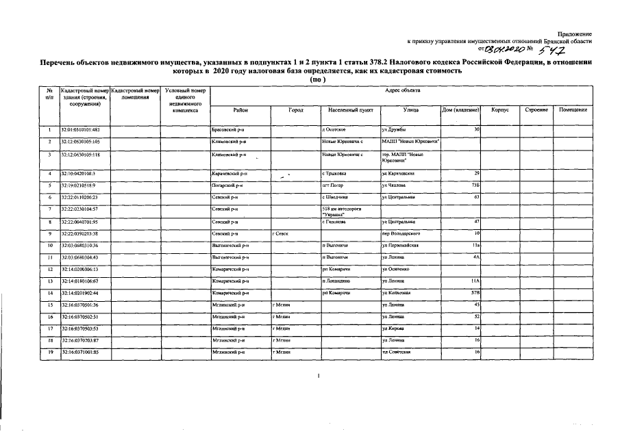
Приказ Управления имущественных отношений Брянской области от 03.04.2020 № 547
"О внесении изменений в приказ от 25.11.2019 №1524 "Об определении Перечня объектов недвижимого имущества, расположенных на территории Брянской области, в отношении которых в 2020 году налоговая база определяется как их кадастровая стоимость"
"О внесении изменений в приказ от 25.11.2019 №1524 "Об определении Перечня объектов недвижимого имущества, расположенных на территории Брянской области, в отношении которых в 2020 году налоговая база определяется как их кадастровая стоимость"
Номер опубликования: 3201202004060011
Дата опубликования:
06.04.2020
