Официальное опубликование правовых актов
ОФИЦИАЛЬНОЕ ОПУБЛИКОВАНИЕ
Приказ Управления имущественных отношений Брянской области от 03.04.2020 № 546
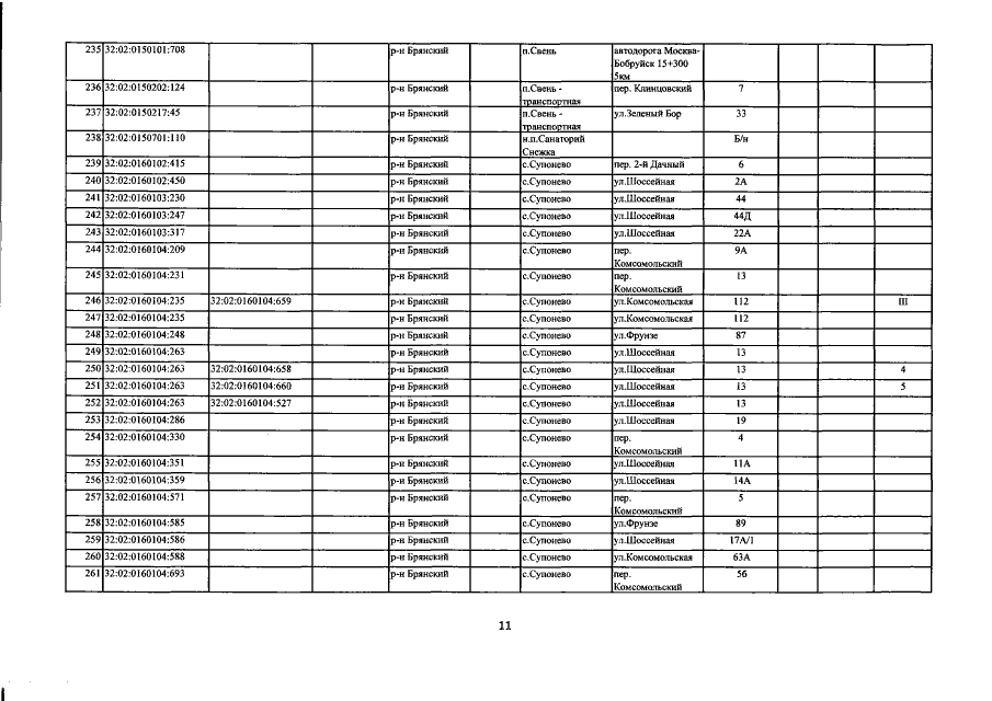
"О внесении изменений в приказ от 27.11.2017 №1312 "Об определении перечня объектов недвижимого имущества, расположенных на территории Брянского района Брянской области, в отношении которых в 2018 году налоговая база определяется как их кадастровая стоимость"
Номер опубликования: 3201202004060008
Дата опубликования: 06.04.2020
Страница №13 из 30:
Увеличить