Официальное опубликование правовых актов
ОФИЦИАЛЬНОЕ ОПУБЛИКОВАНИЕ
Приказ Управления имущественных отношений Брянской области от 03.04.2020 № 532
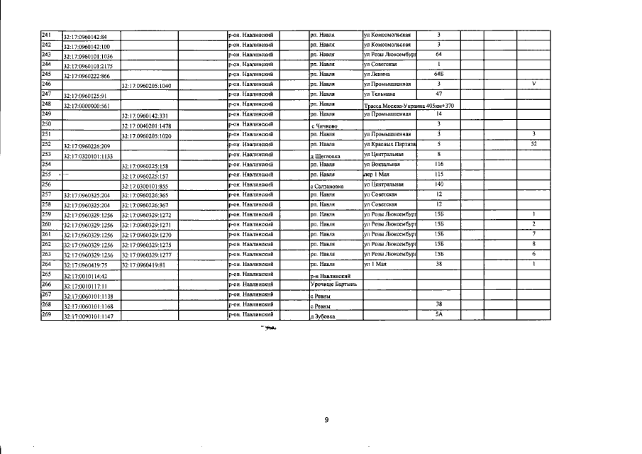
"О внесении изменений в приказ от 27.11.2017 №1326 "Об определении перечня объектов недвижимого имущества, расположенных на территории Навлинского района Брянской области, в отношении которых в 2018 году налоговая база определяется как их кадастровая стоимость"
Номер опубликования: 3201202004060005
Дата опубликования: 06.04.2020
Страница №11 из 15:
Увеличить