Официальное опубликование правовых актов
ОФИЦИАЛЬНОЕ ОПУБЛИКОВАНИЕ
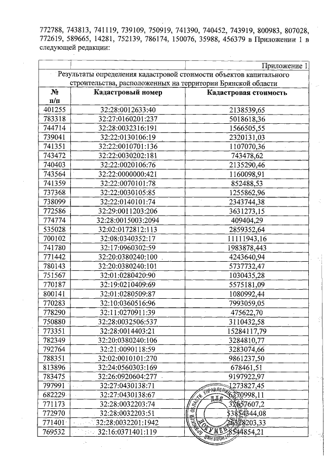
Приказ Управления имущественных отношений Брянской области от 27.03.2020 № 475
"О внесении изменений в приказ от 22.11.2019 № 1498 "Об утверждении результатов определения кадастровой стоимости на территории Брянской области"
Номер опубликования: 3201202004010001
Дата опубликования: 01.04.2020
Страница №2 из 4:
Увеличить