Официальное опубликование правовых актов
ОФИЦИАЛЬНОЕ ОПУБЛИКОВАНИЕ
Приказ Управления имущественных отношений Брянской области от 06.03.2020 № 331
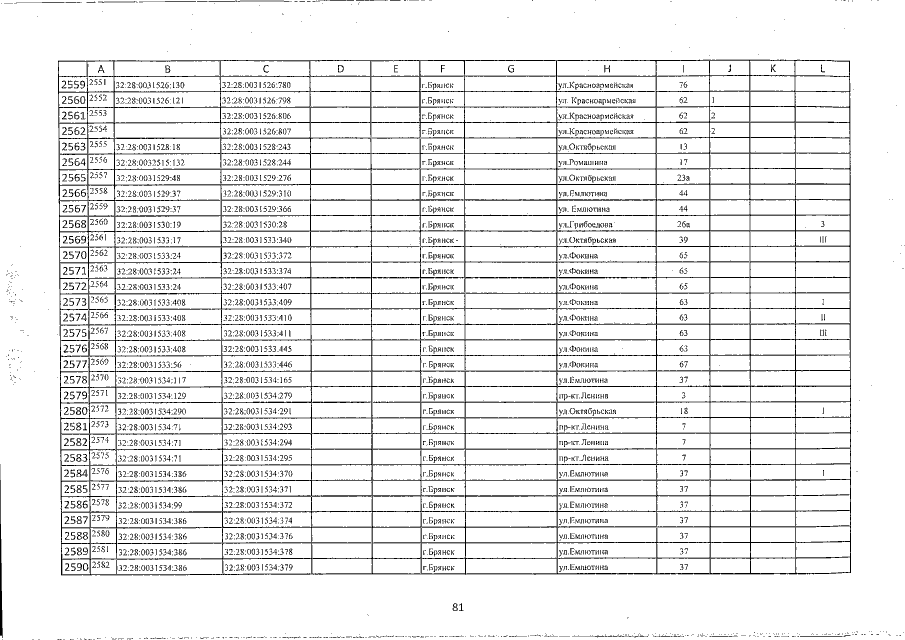
"О внесении изменений в приказ от 24.11.2016 №1410 "Об определении Перечня объектов недвижимого имущества, расположенных на территории города Брянска Брянской области, в отношении которых в 2017 году налоговая база определяется как их кадастровая стоимость"
Номер опубликования: 3201202003130006
Дата опубликования: 13.03.2020
Страница №83 из 127:
Увеличить