Официальное опубликование правовых актов
ОФИЦИАЛЬНОЕ ОПУБЛИКОВАНИЕ
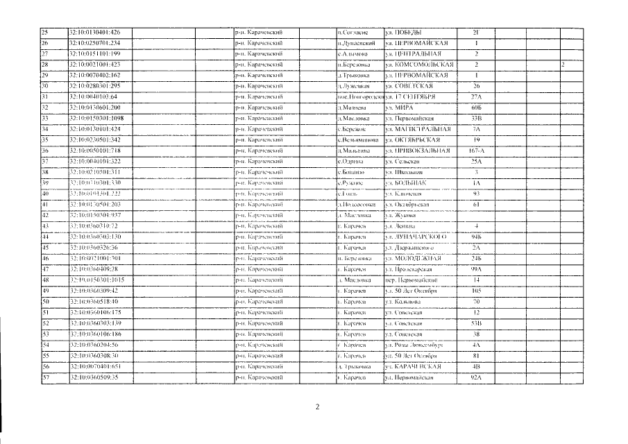
Приказ Управления имущественных отношений Брянской области от 06.03.2020 № 332
"О внесении изменений в приказ от 26.10.2016 №1262 "Об определении перечня объектов недвижимого имущества, расположенных на территории Карачевского района Брянской области, в отношении которых в 2017 году налоговая база определяется как их кадастровая стоимость"
Номер опубликования: 3201202003130004
Дата опубликования: 13.03.2020
Страница №4 из 11:
Увеличить