Официальное опубликование правовых актов
ОФИЦИАЛЬНОЕ ОПУБЛИКОВАНИЕ
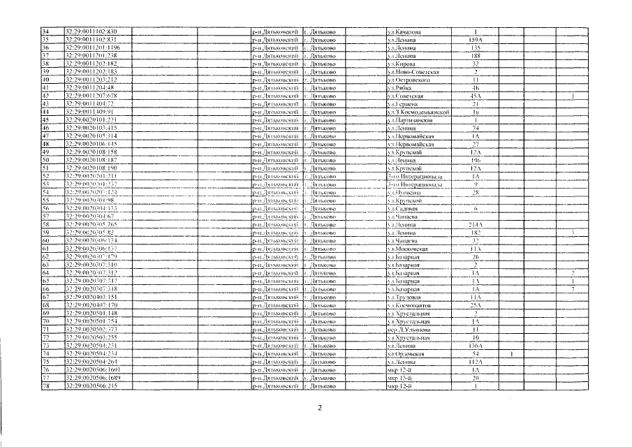
Приказ Управления имущественных отношений Брянской области от 06.03.2020 № 338
"О внесении изменений в приказ от 27.11.2017 №1344 "Об определении Перечня объектов недвижимого имущества, расположенных на территории города Дятьково Брянской области, в отношении которых в 2018 году налоговая база определяется как их кадастровая стоимость"
Номер опубликования: 3201202003130003
Дата опубликования: 13.03.2020
Страница №4 из 13:
Увеличить