Официальное опубликование правовых актов
ОФИЦИАЛЬНОЕ ОПУБЛИКОВАНИЕ
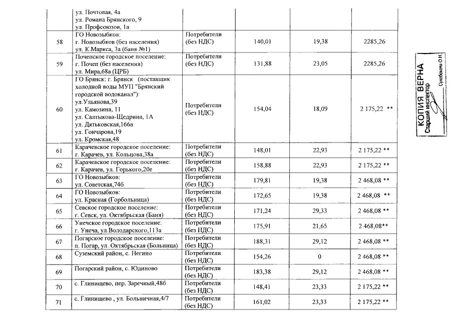
Приказ Управления государственного регулирования тарифов Брянской области от 03.03.2020 № 4/1-гвс
"О внесении изменения в приказ Управления государственного регулирования тарифов Брянской области от 20 декабря 2017 года № 40/3-гвс "О тарифах на горячую воду"
Номер опубликования: 3201202003100002
Дата опубликования: 10.03.2020
Страница №9 из 22:
Увеличить