Официальное опубликование правовых актов
ОФИЦИАЛЬНОЕ ОПУБЛИКОВАНИЕ
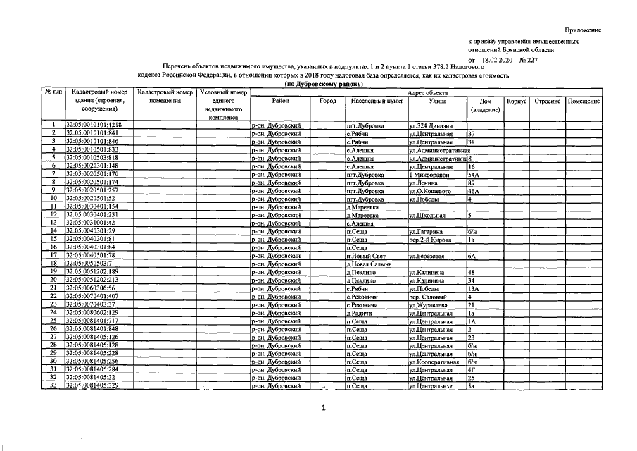
Приказ Управления имущественных отношений Брянской области от 18.02.2020 № 227
"О внесении изменений в приказ от 27.11.2017 №1338 "Об определении Перечня объектов недвижимого имущества, расположенных на территории Дубровского района Брянской области, в отношении которых в 2018 году налоговая база определяется как их кадастровая стоимость"
Номер опубликования: 3201202002250002
Дата опубликования: 25.02.2020
Страница №3 из 7:
Увеличить