Приказ Управления имущественных отношений Брянской области от 18.02.2020 № 218
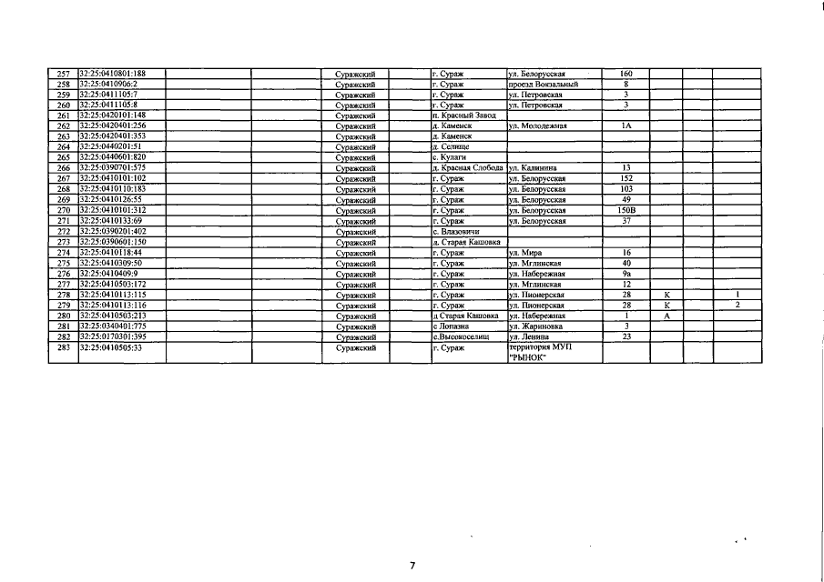
"О внесении изменений в приказ от 27.11.2017 №1318 "Об определении перечня объектов недвижимого имущества, расположенных на территории Суражского района Брянской области, в отношении которых в 2018 году налоговая база определяется как их кадастровая стоимость"
"О внесении изменений в приказ от 27.11.2017 №1318 "Об определении перечня объектов недвижимого имущества, расположенных на территории Суражского района Брянской области, в отношении которых в 2018 году налоговая база определяется как их кадастровая стоимость"
Номер опубликования: 3201202002210003
Дата опубликования:
21.02.2020
