Официальное опубликование правовых актов
ОФИЦИАЛЬНОЕ ОПУБЛИКОВАНИЕ
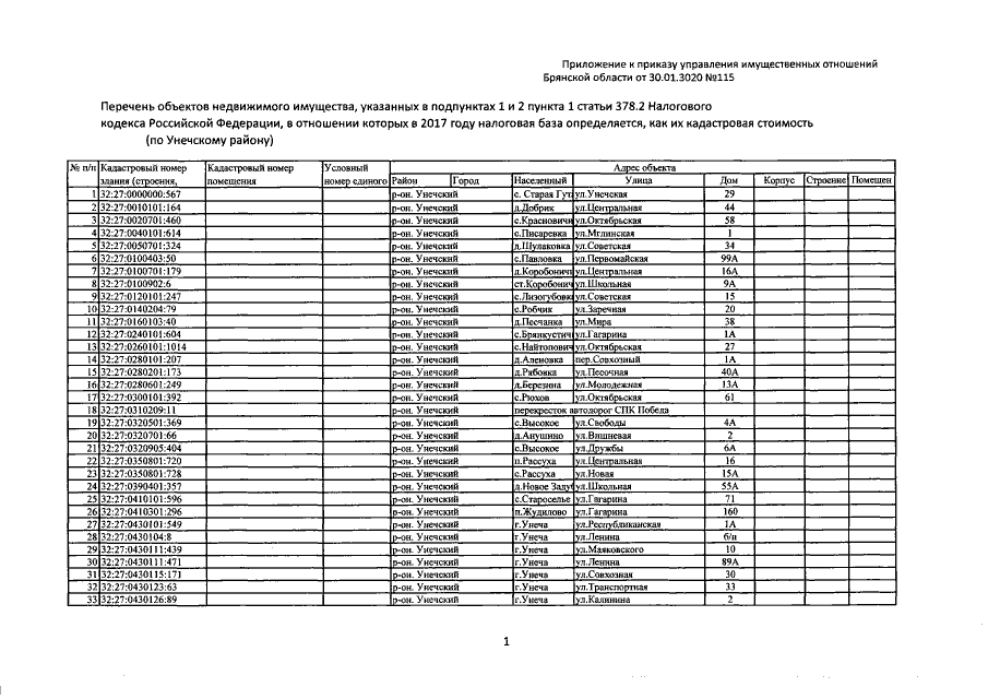
Приказ Управления имущественных отношений Брянской области от 30.01.2020 № 115
"О внесении изменений в приказ от 26.10.2016 №1280 "Об определении перечня объектов недвижимого имущества, расположенных на территории Унечского района Брянской области, в отношении которых в 2017 году налоговая база определяется как их кадастровая стоимость"
Номер опубликования: 3201202001310012
Дата опубликования: 31.01.2020
Страница №3 из 9:
Увеличить