Официальное опубликование правовых актов
ОФИЦИАЛЬНОЕ ОПУБЛИКОВАНИЕ
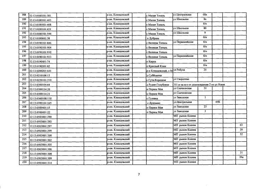
Приказ Управления имущественных отношений Брянской области от 30.01.2020 № 111
"О внесении изменений в приказ от 27.11.2017 №1330 "Об определении перечня объектов недвижимого имущества, расположенных на территории Клинцовского района Брянской области, в отношении которых в 2018 году налоговая база определяется как их кадастровая стоимость"
Номер опубликования: 3201202001310010
Дата опубликования: 31.01.2020
Страница №9 из 10:
Увеличить