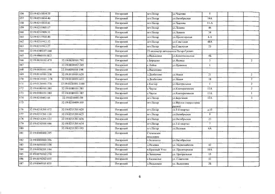
Приказ Управления имущественных отношений Брянской области от 30.01.2020 № 110
"О внесении изменений в приказ от 27.11.2017 №1324 "Об определении перечня объектов недвижимого имущества, расположенных на территории Погарского района Брянской области, в отношении которых в 2018 году налоговая база определяется как их кадастровая стоимость"
"О внесении изменений в приказ от 27.11.2017 №1324 "Об определении перечня объектов недвижимого имущества, расположенных на территории Погарского района Брянской области, в отношении которых в 2018 году налоговая база определяется как их кадастровая стоимость"
Номер опубликования: 3201202001310005
Дата опубликования:
31.01.2020
