Приказ Управления имущественных отношений Брянской области от 30.01.2020 № 117
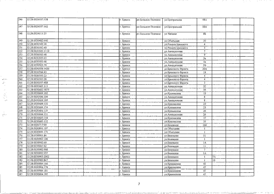
"О внесении изменений в приказ от 27.11.2017 №1314 "Об определении Перечня объектов недвижимого имущества, расположенных на территории города Брянска Брянской области, в отношении которых в 2018 году налоговая база олределяется как их кадастровая стоимость"
"О внесении изменений в приказ от 27.11.2017 №1314 "Об определении Перечня объектов недвижимого имущества, расположенных на территории города Брянска Брянской области, в отношении которых в 2018 году налоговая база олределяется как их кадастровая стоимость"
Номер опубликования: 3201202001310004
Дата опубликования:
31.01.2020
