Официальное опубликование правовых актов
ОФИЦИАЛЬНОЕ ОПУБЛИКОВАНИЕ
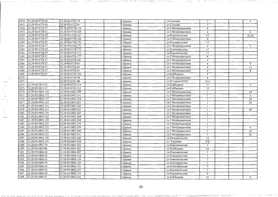
Приказ Управления имущественных отношений Брянской области от 30.01.2020 № 117
"О внесении изменений в приказ от 27.11.2017 №1314 "Об определении Перечня объектов недвижимого имущества, расположенных на территории города Брянска Брянской области, в отношении которых в 2018 году налоговая база олределяется как их кадастровая стоимость"
Номер опубликования: 3201202001310004
Дата опубликования: 31.01.2020
Страница №41 из 146:
Увеличить