Официальное опубликование правовых актов
ОФИЦИАЛЬНОЕ ОПУБЛИКОВАНИЕ
Приказ Управления имущественных отношений Брянской области от 24.01.2020 № 57
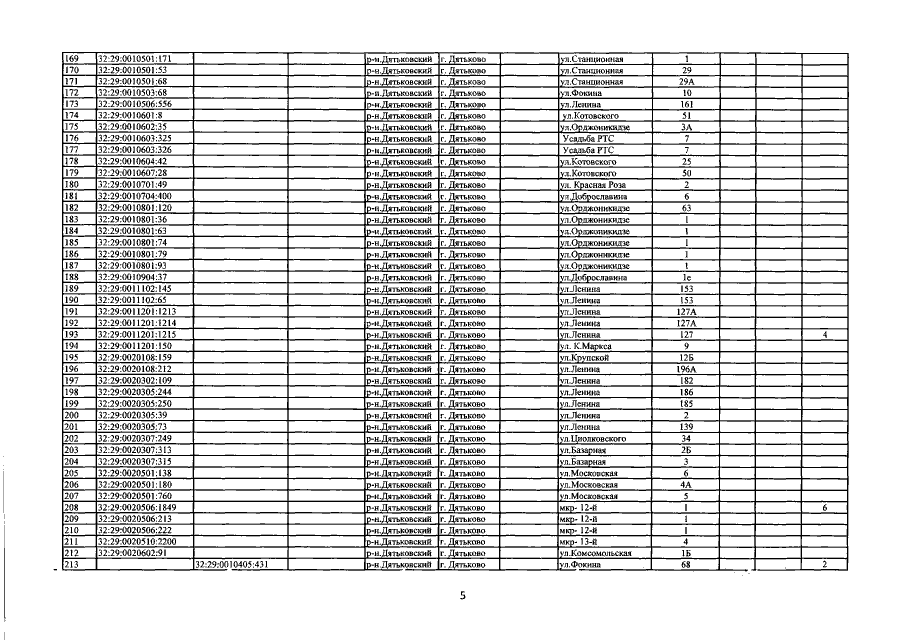
"О внесении изменений в приказ от 27.11.2017 №1344 "Об определении Перечня объектов недвижимого имущества, расположенных на территории города Дятьково Брянской области, в отношении которых в 2018 году налоговая база определяется как их кадастровая стоимость"
Номер опубликования: 3201202001280019
Дата опубликования: 28.01.2020
Страница №7 из 13:
Увеличить