Официальное опубликование правовых актов
ОФИЦИАЛЬНОЕ ОПУБЛИКОВАНИЕ
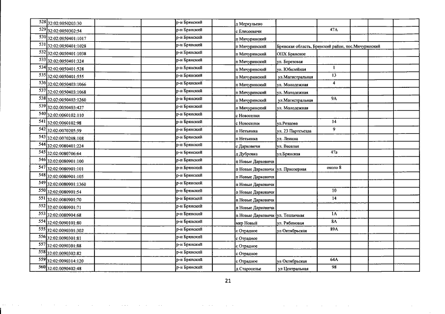
Приказ Управления имущественных отношений Брянской области от 24.01.2020 № 60
"О внесении изменений в приказ от 27.11.2017 №1312 "Об определении перечня объектов недвижимого имущества, расположенных на территории Брянского района Брянской области, в отношении которых в 2018 году налоговая база определяется как их кадастровая стоимость"
Номер опубликования: 3201202001280016
Дата опубликования: 28.01.2020
Страница №23 из 30:
Увеличить