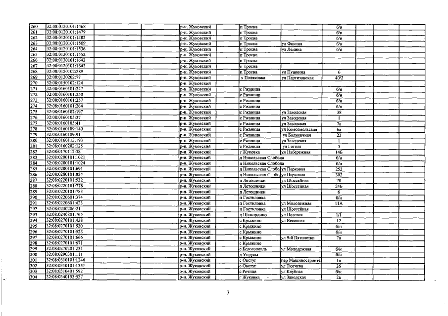
Приказ Управления имущественных отношений Брянской области от 24.01.2020 № 55
"О внесении изменений в приказ от 27.11.2017 №1335 "Об определении Перечня объектов недвижимого имущества, расположенных на территории Жуковского района Брянской области, в отношении которых в 2018 году налоговая база определяется как их кадастровая стоимость"
"О внесении изменений в приказ от 27.11.2017 №1335 "Об определении Перечня объектов недвижимого имущества, расположенных на территории Жуковского района Брянской области, в отношении которых в 2018 году налоговая база определяется как их кадастровая стоимость"
Номер опубликования: 3201202001280011
Дата опубликования:
28.01.2020
