Официальное опубликование правовых актов
ОФИЦИАЛЬНОЕ ОПУБЛИКОВАНИЕ
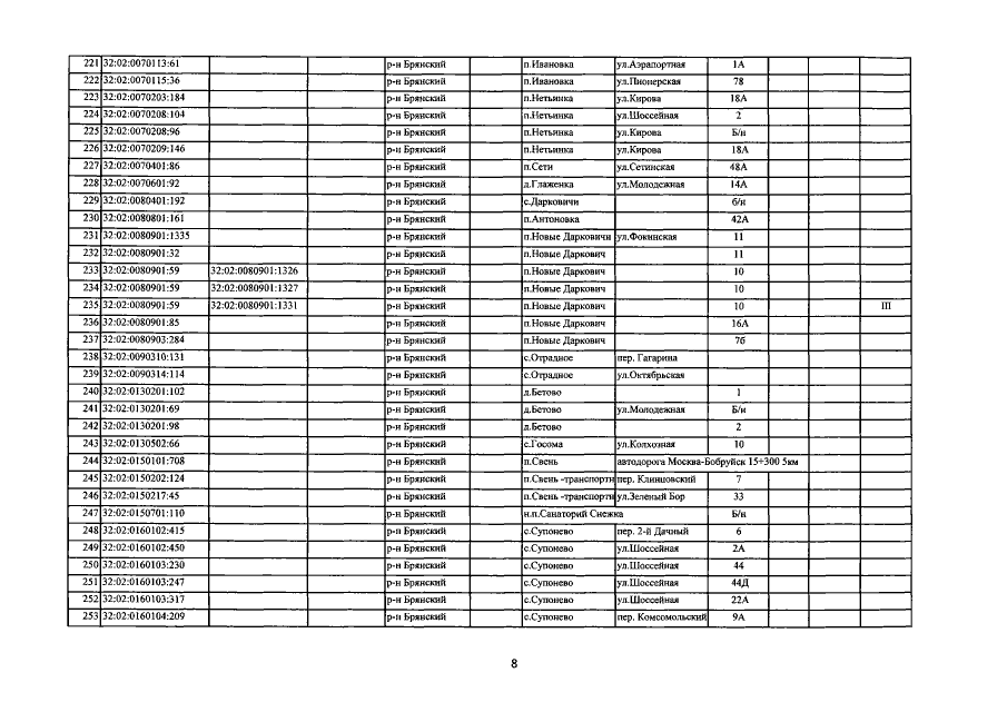
Приказ Управления имущественных отношений Брянской области от 24.01.2020 № 61
"О внесении изменений в приказ от 26.10.2016 №1249 "Об определении перечня объектов недвижимого имущества, расположенных на территории Брянского района Брянской области, в отношении которых в 2017 году налоговая база определяется как их кадастровая стоимость"
Номер опубликования: 3201202001280001
Дата опубликования: 28.01.2020
Страница №10 из 16:
Увеличить