Официальное опубликование правовых актов
ОФИЦИАЛЬНОЕ ОПУБЛИКОВАНИЕ
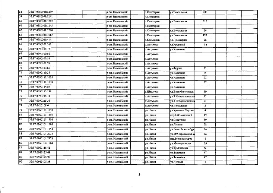
Приказ Управления имущественных отношений Брянской области от 26.12.2019 № 1768
"О внесении изменений в приказ от 26.10.2016 №1269 "Об определении Перечня объектов недвижимого имущества, расположенных на территории Навлинского района Брянской области, в отношении которых в 2017 году налоговая база определяется как их кадастровая стоимость"
Номер опубликования: 3201201912300025
Дата опубликования: 30.12.2019
Страница №5 из 10:
Увеличить