Официальное опубликование правовых актов
ОФИЦИАЛЬНОЕ ОПУБЛИКОВАНИЕ
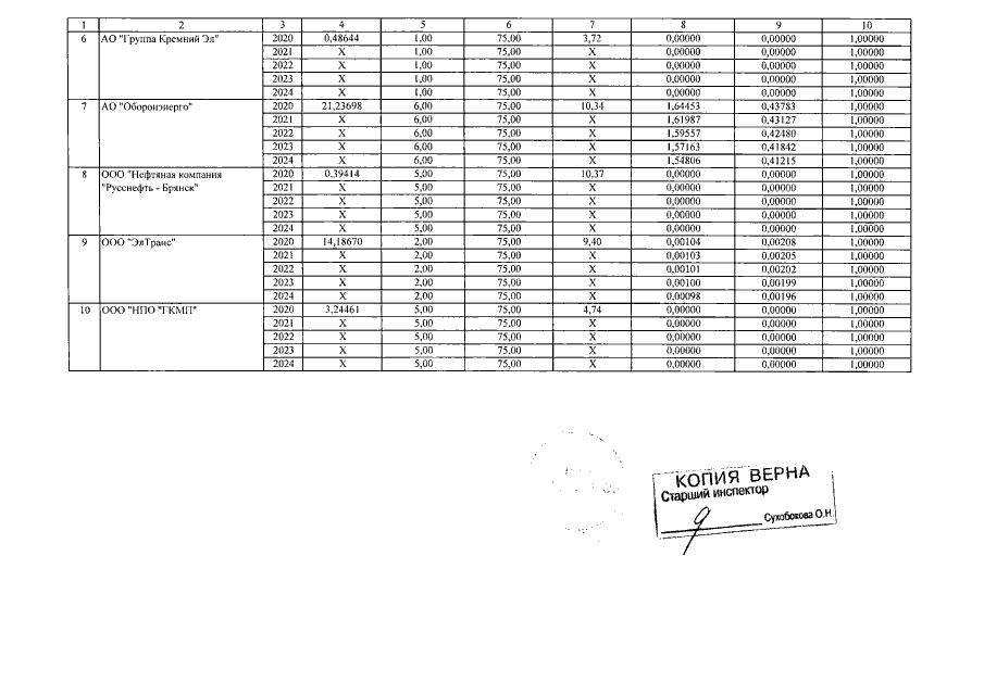
Приказ Управления государственного регулирования тарифов Брянской области от 26.12.2019 № 39/2-э
"О долгосрочных индивидуальных тарифах на услуги по передаче электрической энергии на территории Брянской области на 2020 - 2024 года"
Номер опубликования: 3201201912300018
Дата опубликования: 30.12.2019
Страница №11 из 11:
Увеличить