Официальное опубликование правовых актов
ОФИЦИАЛЬНОЕ ОПУБЛИКОВАНИЕ
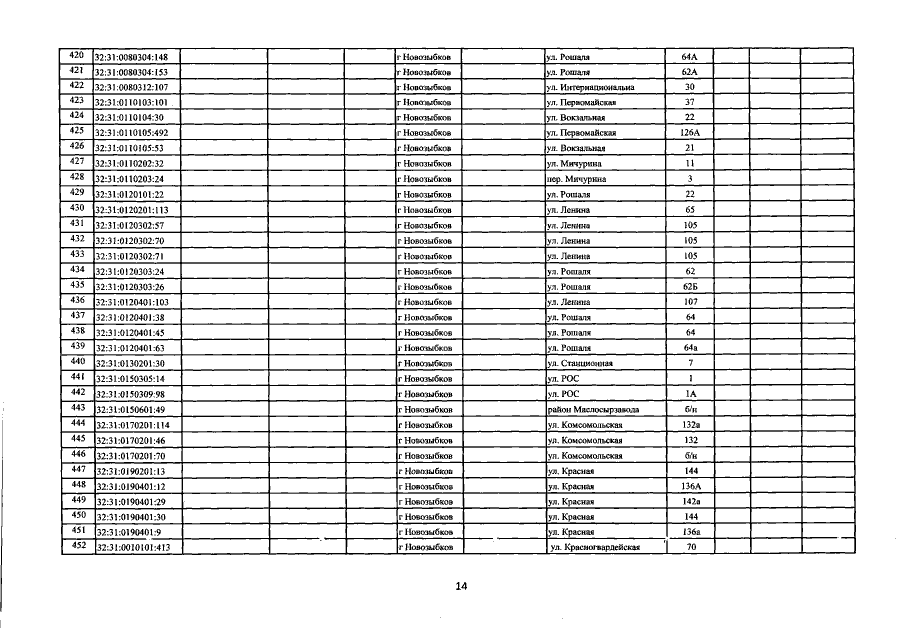
Приказ Управления имущественных отношений Брянской области от 26.12.2019 № 1781
"О внесении изменений в приказ от 27.11.2017 №1342 "Об определении перечня объектов недвижимого имущества, расположенных на территории города Новозыбкова Брянской области, в отношении которых в 2018 году налоговая база определяется как их кадастровая стоимость"
Номер опубликования: 3201201912300007
Дата опубликования: 30.12.2019
Страница №16 из 17:
Увеличить