Официальное опубликование правовых актов
ОФИЦИАЛЬНОЕ ОПУБЛИКОВАНИЕ
Приказ Департамента природных ресурсов и экологии Брянской области от 24.12.2019 № 434
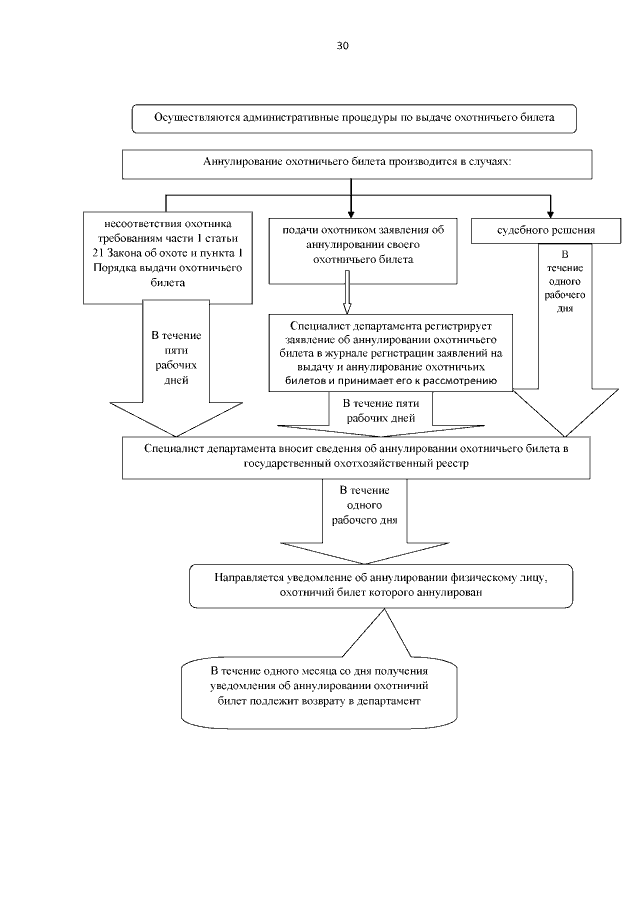
"Об утверждении административного регламента предоставления государственной услуги "Выдача и аннулирование охотничьего билета единого федерального образца"
Номер опубликования: 3201201912260024
Дата опубликования: 26.12.2019
Страница №32 из 33:
Увеличить