Официальное опубликование правовых актов
ОФИЦИАЛЬНОЕ ОПУБЛИКОВАНИЕ
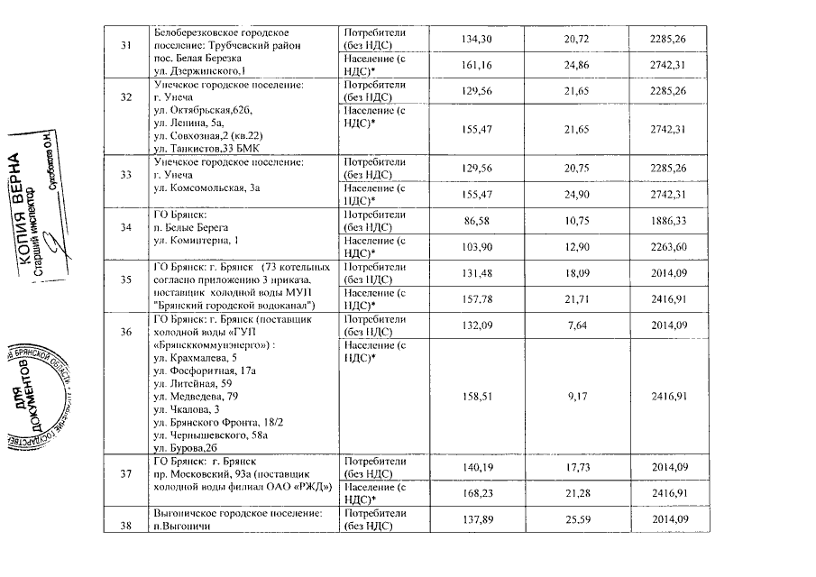
Приказ Управления государственного регулирования тарифов Брянской области от 20.12.2019 № 37/48-гвс
"О внесении изменения в приказ Управления государственного регулирования тарифов Брянской области от 20 декабря 2017 года № 40/3-гвс "О тарифах на горячую воду"
Номер опубликования: 3201201912250036
Дата опубликования: 25.12.2019
Страница №6 из 20:
Увеличить