Приказ Управления имущественных отношений Брянской области от 16.12.2019 № 1652
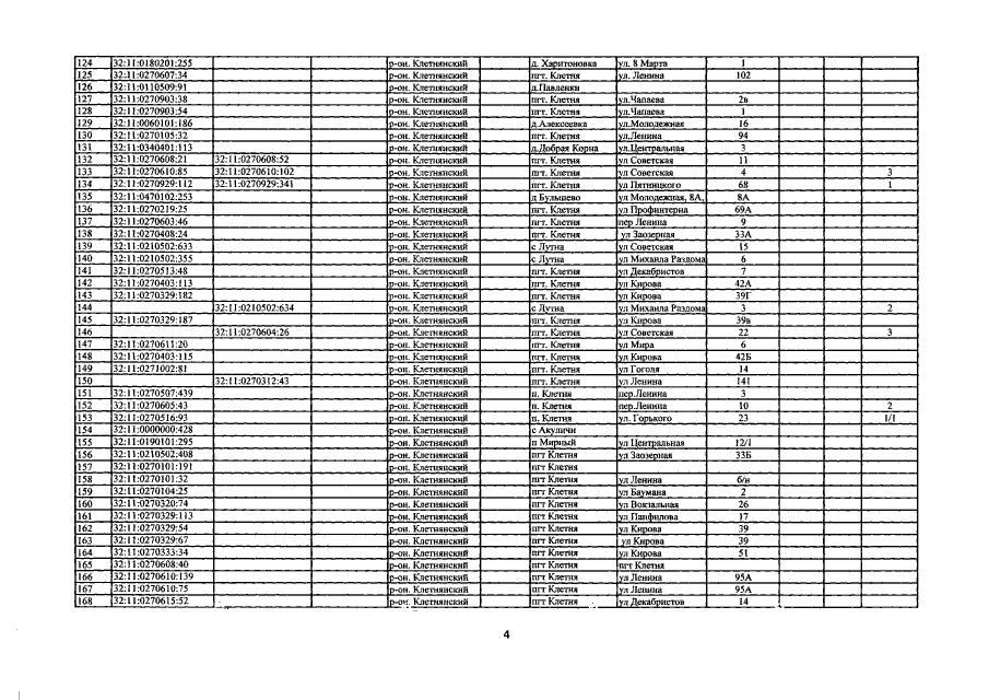
"О внесении изменений в приказ от 27.11.2017 №1332 "Об определении Перечня объектов недвижимого имущества, расположенных на территории Клетнянского района Брянской области, в отношении которых в 2018 году налоговая база определяется как их кадастровая стоимость"
"О внесении изменений в приказ от 27.11.2017 №1332 "Об определении Перечня объектов недвижимого имущества, расположенных на территории Клетнянского района Брянской области, в отношении которых в 2018 году налоговая база определяется как их кадастровая стоимость"
Номер опубликования: 3201201912230061
Дата опубликования:
23.12.2019
