Официальное опубликование правовых актов
ОФИЦИАЛЬНОЕ ОПУБЛИКОВАНИЕ
Приказ Управления имущественных отношений Брянской области от 16.12.2019 № 1654
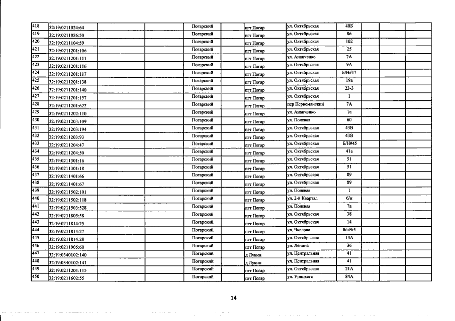
"О внесении изменений в приказ от 27.11.2017 №1324 "Об определении перечня объектов недвижимого имущества, расположенных на территории Погарского района Брянской области, в отношении которых в 2018 году налоговая база определяется как их кадастровая стоимость"
Номер опубликования: 3201201912230024
Дата опубликования: 23.12.2019
Страница №16 из 17:
Увеличить