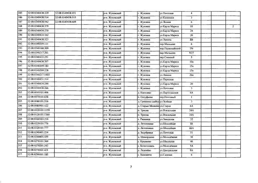
Приказ Управления имущественных отношений Брянской области от 16.12.2019 № 1644
"О внесении изменений в приказ от 26.10.2016 №1260 "Об определении перечня объектов недвижимого имущества, расположенных на территории Жуковского района Брянской области, в отношении которых в 2017 году налоговая база определяется как их кадастровая стоимость"
"О внесении изменений в приказ от 26.10.2016 №1260 "Об определении перечня объектов недвижимого имущества, расположенных на территории Жуковского района Брянской области, в отношении которых в 2017 году налоговая база определяется как их кадастровая стоимость"
Номер опубликования: 3201201912200067
Дата опубликования:
20.12.2019
