Официальное опубликование правовых актов
ОФИЦИАЛЬНОЕ ОПУБЛИКОВАНИЕ
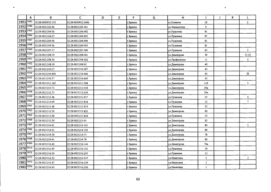
Приказ Управления имущественных отношений Брянской области от 18.11.2019 № 1473
"О внесении изменений в приказ от 24.11.2016 №1410 "Об определении Перечня объектов недвижимого имущества, расположенных на территории города Брянска Брянской области, в отношении которых в 2017 году налоговая база определяется как их кадастровая стоимость"
Номер опубликования: 3201201911250002
Дата опубликования: 25.11.2019
Страница №64 из 128:
Увеличить