Официальное опубликование правовых актов
ОФИЦИАЛЬНОЕ ОПУБЛИКОВАНИЕ
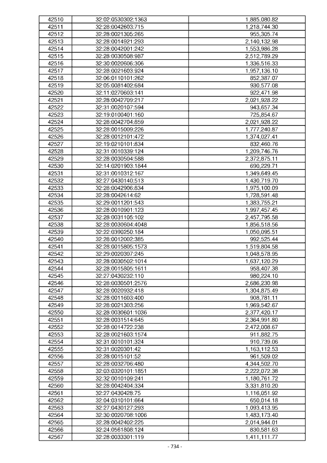
Приказ Управления имущественных отношений Брянской области от 22.11.2019 № 1498
"Об утверждении результатов определения кадастровой стоимости на территории Брянской области"
Номер опубликования: 3201201911250001
Дата опубликования: 25.11.2019
Страница №736 из 27552:
Увеличить